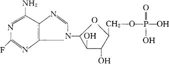
磷酸氟达拉宾
C10H13FN5O7P=365.21 CAS-75607-67-9 CASA-21679-14-1(fludarabine) 2-氟-9-(5-O-膦酰-β-D-阿拉伯呋糖基)-9H-嘌呤-6-胺。 2-fluoro-9-(5-O-phosphono-p-D-arabinofuranosyl)-9H-purin-6-amine. 5′-磷酸二氢9-β-D-阿拉伯呋喃糖基-2-氟腺嘌呤。 9-β-D-Arabinofuranosyl-2-fluoroadenine 5′-dihydrogen phosphate. 抗肿瘤药。 Fludarabine Phosphate,NSC-312887. USAN.  |