网站首页  词典首页


请输入您要查询的字词:

 

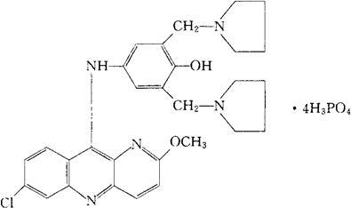
字词 磷酸咯萘啶[中]
类别 中英文字词句释义及详细解析
释义 磷酸咯萘啶[中]

C29H32ClN5O2·4H3PO4=798.05

2-甲氧-7-氯-10-(3′,5′-双四氢吡咯次甲基-4′-羟苯基)氨苯骈[b]-1,5-萘啶四磷酸盐。

2-Methoxy-7-chloro-10-(3′,5′-bis tetrahydropyrrole methine-4′-hydroxyphenyl)aminobenzo[b]-1,5-naphthyridine tetraphosphate.

7-氯-2-甲氧-10-[4′-羟-3′,5′-双[(吡咯烷-1-基)甲基]苯氨基]苯并[b-1,5]萘啶四磷酸盐。

7-Chloro-2-methoxy-10-[4′-hydroxy-3′,5′-bis[(pyrrolidine-1-yl)methyl]phenylamino]benzo[b-1,5]naphthyridine tetraphosphate.

抗疟药。用于各种疟疾、脑型疟和凶险型疟疾。

咯萘啶,疟乃停。

Pyronaridine Phosphate,Malanidinum.

磷酸咯乃啶片(咯萘啶片,肠溶片),磷酸咯萘啶注射液(疟乃停注射液)。

随便看

 

离鸟网收录3541549条中英文词条,其功能与新华字典、现代汉语词典、牛津高阶英汉词典等各类中英文词典类似,基本涵盖了全部常用中英文字词句的读音、释义及用法,是语言学习和写作的有利工具。

 

Copyright © 2004-2024 vtrois.com All Rights Reserved
更新时间:2026/4/19 8:56:17