网站首页  词典首页


请输入您要查询的字词:

 

字词 磷酸咯啶[中]
类别 中英文字词句释义及详细解析
释义 磷酸咯啶[中]

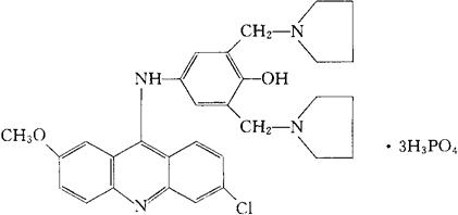
C30H33ClN4O2·3H3PO4=811.07

三磷酸9-[3,5-双(1-吡咯烷甲基)4-羟苯胺基]-3-氨-7-甲氧吖啶。

9-[3,5-bis(1-Pyrrolidinylmethyl)4-hydroxyanilino]-3-chloro-7-methoxyacridine triphosphate.

抗疟药。用于各种类型的疟疾。

Pyracrin Phosphate.

咯啶片(磷酸咯啶片)。

随便看

 

离鸟网收录3541549条中英文词条,其功能与新华字典、现代汉语词典、牛津高阶英汉词典等各类中英文词典类似,基本涵盖了全部常用中英文字词句的读音、释义及用法,是语言学习和写作的有利工具。

 

Copyright © 2004-2024 vtrois.com All Rights Reserved
更新时间:2026/4/18 7:09:16