网站首页  词典首页


请输入您要查询的字词:

 

字词 磷酸可待因[典]
类别 中英文字词句释义及详细解析
释义 磷酸可待因[典]

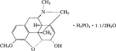
C18H21NO3·H3PO4·1 1/2H2O=424.39

CAS-41444-62-6

甲基吗啡的磷酸盐(1∶1)一又二分之一水化合物。

Methylmorphine phosphate(1∶1)sesquihydrate.

7,8-二去氢-4,5α-环氧-3-甲氧基-17-甲基吗啡喃-6α-醇磷酸盐(1∶1)一又二分之一水化合物。

7,8-Didehydro-4,5α-epoxy-3-methoxy-17-methylmorphinan-6α-ol phosphate(1∶1)(salt)sesquihydrate.

镇痛药和镇咳药。用于剧烈干咳及中等度疼痛。

Codeine Phosphate.

磷酸可待因片(锭)(台),可待因糖浆(磷酸可待因糖浆),磷酸可待因注射液(可待因注射液)(台)。

BP,IP,USAN,USP,MI.

随便看

 

离鸟网收录3541549条中英文词条,其功能与新华字典、现代汉语词典、牛津高阶英汉词典等各类中英文词典类似,基本涵盖了全部常用中英文字词句的读音、释义及用法,是语言学习和写作的有利工具。

 

Copyright © 2004-2024 vtrois.com All Rights Reserved
更新时间:2026/4/17 23:14:12