网站首页  词典首页


请输入您要查询的字词:

 

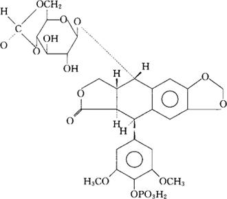
字词 磷酸依托苷
类别 中英文字词句释义及详细解析
释义 磷酸依托苷

C29H33O16P=668.55

[5R-[5α,5αβ,8aα,9β(R*)]]-5-[3,5-二甲氧-4-(膦酰基氧)-苯基]-9-[(4,6-O-亚乙基-β-D-吡喃葡糖基)氧]-5,8,8a,9-四氢-糠基[3′,4∶′6,7]萘并[2,3-d]-1,3-二氧代-6(5aH)-酮。

[5R-[5α,5aβ,8aα,93(R*)]]-5-[3,5-Dimethoxy-4-(phosphonooxy)-phenyl]-9-[(4,6-O-ethylidene-β-D-glucopyranosyl)oxy]-5,8,-8a,9-tetrahydro-furo[3′,4′∶6,7]naphtho[2,3-d]-1,3-dioxo-6(5aH)-one.

4′-去甲基表鬼臼毒素[9-[4,6-O-(R)-亚乙基-β-D吡喃葡糖甙],4′-(二氢磷酸盐)。

4′-Demethylepipodophyllotoxn[9-[4,6-O-(R)-ethylidene-β-D-glucopyranoside],4′-(dihydrogen phosphate)].

抗肿瘤药。

依托泊甙。

Etoposide Phosphate,BNY 40481.

USAN.

随便看

 

离鸟网收录3541549条中英文词条,其功能与新华字典、现代汉语词典、牛津高阶英汉词典等各类中英文词典类似,基本涵盖了全部常用中英文字词句的读音、释义及用法,是语言学习和写作的有利工具。

 

Copyright © 2004-2024 vtrois.com All Rights Reserved
更新时间:2026/4/19 4:42:47