网站首页  词典首页


请输入您要查询的字词:

 

字词 磨浆系数
类别 中英文字词句释义及详细解析
释义 磨浆系数

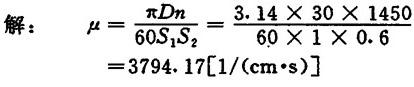
【说明】 是较全面地反映圆柱精浆机工艺性能的一个综合性能指标。

【公式】

式中符号含义及单位同前

【例5】 计算上述4例中圆柱精浆机的磨浆系数。

随便看

 

离鸟网收录3541549条中英文词条,其功能与新华字典、现代汉语词典、牛津高阶英汉词典等各类中英文词典类似,基本涵盖了全部常用中英文字词句的读音、释义及用法,是语言学习和写作的有利工具。

 

Copyright © 2004-2024 vtrois.com All Rights Reserved
更新时间:2026/4/21 20:02:05