网站首页  词典首页


请输入您要查询的字词:

 

字词 磨浆比压的计算
类别 中英文字词句释义及详细解析
释义 磨浆比压的计算

【说明】 单位磨浆面积上承受的压力,称为磨浆比压。

【公式】

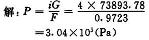
式中 P——磨浆比压(Pa)

G——每组定子刀对刀辊的正压力(N)

F——磨浆面积(m2)

i——定子刀组数

【例2】 某圆柱精浆机磨浆面积为0.9723m2,有4组定子刀,每组定子刀对刀辊的正压力为73893.78N,求磨浆比压。

随便看

 

离鸟网收录3541549条中英文词条,其功能与新华字典、现代汉语词典、牛津高阶英汉词典等各类中英文词典类似,基本涵盖了全部常用中英文字词句的读音、释义及用法,是语言学习和写作的有利工具。

 

Copyright © 2004-2024 vtrois.com All Rights Reserved
更新时间:2026/4/18 8:38:03