网站首页  词典首页


请输入您要查询的字词:

 

字词 磁场的分析方法
类别 中英文字词句释义及详细解析
释义 磁场的分析方法

磁铁周围存在磁场早为人们所发现,历史上很长一段时间里,磁与电被认为是两类截然分开的现象,直到19世纪初,人们才认识到电与磁之间有著不可分割的联系。

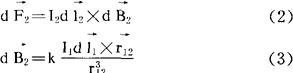
所有的磁场都是由电流或运动电荷产生的(根据安培分子环流假说,磁铁与磁场,物质的磁性,都是分子环流导致的)。运动著的电荷之间不单存在库仑相互作用,还同时存在著磁相互作用。在磁学中,与库仑定律相当的是安培定律,即距电流元I1dl1为r12的电流元I2dl2所受到前者的磁作用力为

式中k是取决于单位制的普适常数。

上式也可写成

(3)式所示的dB2称为电流元I1dI1在I2dl2所在处r2所产生的磁感应强度。

考虑到空间存在多种电流,则这些电流在所产生的总磁感应强度应为(毕奥萨伐尔定律)

此时(2)推广为

(5)

(5)式表明,与电学中用检验电荷来检测电场类似,磁学中原则上可以用电流元Idl来检验磁场,在实验中当然不可能有孤立的电流元,但可用采用小面积的平面载流圈来检验磁场,可以证明,面积为S、共N匝、所通电流为Ⅰ的线圈在磁场受到一个力矩的作用,

式中\\是与线圈电流成右手系的法向)称为该载流线圈的磁矩。

与电场类似,根据磁场的特点,可引起所谓矢势,它与的关系为

(6)

然后建立的微分方程(其形式与泊松方程相似,只是这里的源应改为电流密度,另外还带一个与单位制有关的常系数),结合边界条件解该方程并从

(6)式求,这样计算有时比直接从(4)式计算更为方便有效。

随便看

 

离鸟网收录3541549条中英文词条,其功能与新华字典、现代汉语词典、牛津高阶英汉词典等各类中英文词典类似,基本涵盖了全部常用中英文字词句的读音、释义及用法,是语言学习和写作的有利工具。

 

Copyright © 2004-2024 vtrois.com All Rights Reserved
更新时间:2026/4/18 1:21:23