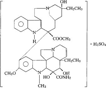
碳酸长春地辛
C43H55N5O7·H2SO4=852.01 CAS-59917-39-4 CAS-53643-48-4(vindesine) 3-(氨羰基)-O4-去乙酰基-3-去(甲氧羰基)长春碱硫酸盐(1∶1)。 Vincaleukoblastine,3-(aminocarbonyl)-O4-deacetyl3-de(methoxycarbonyl)sulfate(1∶1)(salt). 3-氨甲酰基-4-去乙酰基-3-去(甲氧羰基)长春碱的硫酸盐(1∶1)。 3-Carbamoyl-4--deacetyl-3-de(methoxycarbonyl)vincaleukoblastine sulfate(1∶1)(salt). 抗肿瘤药。 Vindesine Sulfate,Eldisine,LY 99094,NSC-245467 Elsedine,Elsedin,Fildesin,Gesidine,Lilly 112531. INN(Vinepidine),USAN.  |