网站首页  词典首页


请输入您要查询的字词:

 

字词 碳同位素比值
类别 中英文字词句释义及详细解析
释义 碳同位素比值

碳的不同同位素的相对丰度。

海洋中碳的同位素有三种:12C、13C和14C。通常进行12C和13C的比值δ13C的分析。

它能反映不同同位素进行化学反应和生物学反应的速率,说明过程中形成的事件。

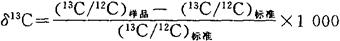
13C的同位素比值为:

碳的12C和13C同位素在大气和海洋中的丰度不同,造成这种差别的主要平衡式是

13CO2(气)十H12CO3(水)12CO2(气)+H13CO3(水)

由此造成13C在海洋碳酸氢盐中的富集,它此大气二氧化碳约多含7×10-3

放射性碳的分析可以测得DOC的“表现年龄”。另一方面,14C分析值可能为海水中过程的时间标度提供可靠的信息。

尤其令人感兴趣的是,它可提供核试验方面的资料。

随便看

 

离鸟网收录3541549条中英文词条,其功能与新华字典、现代汉语词典、牛津高阶英汉词典等各类中英文词典类似,基本涵盖了全部常用中英文字词句的读音、释义及用法,是语言学习和写作的有利工具。

 

Copyright © 2004-2024 vtrois.com All Rights Reserved
更新时间:2026/4/17 21:31:43