网站首页  词典首页


请输入您要查询的字词:

 

字词 碱液输送系统泵的计算实例
类别 中英文字词句释义及详细解析
释义 碱液输送系统泵的计算实例

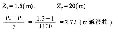
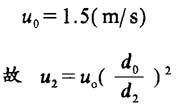
[例]如图2-5-43为一碱液输送系统。泵的进口管为Φ108×4.5mm钢管,碱液在进口管中的流速为1.5m/s;出口管为Φ76×2.5mm钢管;贮液池中碱液深度为1.5m,池底至大贮罐的垂直距离为20m,碱液流经管路系统的摩擦损失为3m碱液柱;喷出口的压力为0.3atm(表压),碱液重度为1100(kg/m3),泵的效率为60%,求此泵的扬程及所需功率。

解:
❶ 计算扬程

以0-0′为基准面,列I-I和Ⅱ-Ⅱ两端面间的柏努利方程式求扬程。由题意知:

因贮槽面积较出口管截面积大得多,故视液面近似不变,故u1=0

根据上例计算知:

❷ 计算功率

碱液的重量流量为:

泵提升碱液需要的有效功率为:

泵的轴功率:

随便看

 

离鸟网收录3541549条中英文词条,其功能与新华字典、现代汉语词典、牛津高阶英汉词典等各类中英文词典类似,基本涵盖了全部常用中英文字词句的读音、释义及用法,是语言学习和写作的有利工具。

 

Copyright © 2004-2024 vtrois.com All Rights Reserved
更新时间:2026/4/17 22:07:58