网站首页  词典首页


请输入您要查询的字词:

 

字词 碱液不同成分含量的相互换算
类别 中英文字词句释义及详细解析
释义 碱液不同成分含量的相互换算

【说明】碱法蒸煮液通常都是由不同成分构成的,在进行工艺计算以及化学分析时,往往需要将这些化合物换算为某一种化学药品来表示,这就需要首先求出不同化学组分相互换算时的换算因数,有了换算因数,就可进行化学成分间含量的换算。欲将化学成分A换算成化学成分B,则换算因数可用下式计算。

【公式】

式中 K——换算因数

nA——A物质的克当量

nB——B物质的克当量

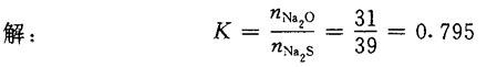
【例】1.求由Na2S换算成Na2O的换算因数

2.现有NaOH500kg,求相当于Na2O的重量。

解:

3.蒸煮液中NaOH200kg,Na2S300kg,求蒸煮的活性碱量(以Na2O计)。

【附表】碱法蒸煮液中有关化学药品的分子量及其换算因数见表1-2-7。

表1-2-7 碱法蒸煮液化学成分的分子量及其换算因数。

随便看

 

离鸟网收录3541549条中英文词条,其功能与新华字典、现代汉语词典、牛津高阶英汉词典等各类中英文词典类似,基本涵盖了全部常用中英文字词句的读音、释义及用法,是语言学习和写作的有利工具。

 

Copyright © 2004-2024 vtrois.com All Rights Reserved
更新时间:2026/4/18 1:10:28