网站首页  词典首页


请输入您要查询的字词:

 

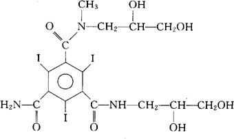
字词 碘赛特
类别 中英文字词句释义及详细解析
释义 碘赛特

C16H20I3N3O7=747.06

CAS-79211-34-0

(±)-N,N′-双(2,3-二羟丙基)-2,4,6-三碘-N-甲基-1,3,5-苯三甲酰胺。

(±)-N,N′-bis(2,3-Dihydroxypropyl)-2,4,6-triiodo-N-methyl-1,3,5-benzenetricarboxamide.

造影药。

Iotriside.

INN,USAN.

随便看

 

离鸟网收录3541549条中英文词条,其功能与新华字典、现代汉语词典、牛津高阶英汉词典等各类中英文词典类似,基本涵盖了全部常用中英文字词句的读音、释义及用法,是语言学习和写作的有利工具。

 

Copyright © 2004-2024 vtrois.com All Rights Reserved
更新时间:2026/4/18 0:28:20