网站首页  词典首页


请输入您要查询的字词:

 

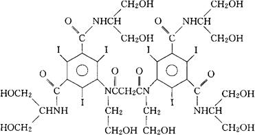
字词 碘西醇
类别 中英文字词句释义及详细解析
释义 碘西醇

C35H44l6N6O16=1566.19

CAS-81045-33-2

5,5′-[丙二酰基双[(2-羟乙基)亚氨基]]双[N,N′-双[2-羟-1-(羟甲基)乙基]-2,4,6-三碘间苯二甲酰胺]。

5,5′-[Malonylbis[(2-hydroxyethyl)imino]]bis[N,N′-bis[2-hydroxy-1-(hydroxymethyl)ethyl]-2,4,6-triiodoisophthalamide].

诊断用药。

Indecimol,Iodecal.

INN,USAN.

随便看

 

离鸟网收录3541549条中英文词条,其功能与新华字典、现代汉语词典、牛津高阶英汉词典等各类中英文词典类似,基本涵盖了全部常用中英文字词句的读音、释义及用法,是语言学习和写作的有利工具。

 

Copyright © 2004-2024 vtrois.com All Rights Reserved
更新时间:2026/4/21 18:00:19