碘西法酸
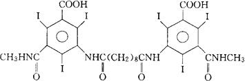
C28H28I6N4O8=1309.98 CAS-5591-33-3 3,3′-[(1,10-二氧-1,10-癸二基)二亚氨基]双[2,4,6-三碘-5-(甲氨基)羰基]苯甲酸。 3,3′-[(1,10-Dioxo-1,10-decanediyl)diimino]bis[2,4,6-triiodo-5-(methylamino)carbonyl]benzoic acid. 5,5′-(癸二酰二亚氨基)双[2,4,6-三碘-N-甲基间苯二甲氨酸]。 5,5′-(Sebacoyldiimino)bis[2,4,6-triiodo-Nmethylisophthalamic acid]. 诊断用药。 Iosefamic Acid,MP 271. INN.USAN.  |