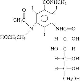
碘葡醇
C18H24I3N3O9=807.12 CAS-63941-73-1 N-[3-[乙酰(2-羟乙基)氨基]-2,4,6-三碘-5-[(甲氨基)羰基]苯基]-D-葡糖酰胺。 N-[3-[Acetyl(2-hydroxyethyl)amino]-2,4,6-triiodo-5-[(methylamino)carbonyl]phenyl]D-gluconamide. 3′-[N-(2-羟乙基)乙酰胺基]-2′,4′,6′-三碘-5′-(甲基氨基甲酰)-D-葡糖酰苯胺。 3′-[N-(2-Hydroxyethyl)acetamido]-2′,4′,6′-triiodo-5′-(methylcarbamoyl)-D-gluconanilide. 诊断用药(造影药)。 Ioglucol,MP-6026. INN,USAN.  |