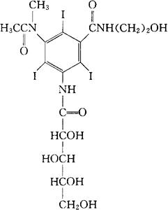
碘葡苯胺
C18H24I3N3O9=807.12 CAS-56562-79-9 3′-[(2-羟乙基)氨基甲酰]2′,4′,6′-三碘-5′-N-甲基乙酰胺基-D-葡糖酰苯胺。 3′-[(2-Hydroxyethyl)carbamoyl]-2′,4,′6′-triiodo5′-N-methylacetamido-D-glucoanilide. N-[3-(乙酰甲氨基)-5-[[(2-羟乙基)氨基]羰基]-2,4,6-三碘苯基]-D-葡糖酰胺。 N-[3-(Acetylmethylamino)-5-[[2-hydroxyethyl)amino]carbonyl]-2,4,6-triiodophenyl]-D-gluconamide. 诊断用药(造影药)。 Ioglunide,p 297. INN,USAN.  |