碘磺拉葡胺
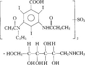
C28H28I6N4O10S·C7H17NO5=1569.25 CAS-63534-64-5 CAS-23205-04-1(iossulamide) CAS-6284-40-8(meglumine) 3,3′-[磺酰双[(1-氧代-3,1-丙二基)亚氨基]]双[5-(乙酰乙氨基)-2,4,6-三碘苯甲酸]与1-去氧-1-(甲氨基)-D山梨醇(1∶1)的化合物。 3,3′-[Sulfonylbis[(1-oxo-3,1-propanediyl)imino]]bis[5-(acetylethylamino)-2,4,6-triiodobenzoic acid]compound with 1-deoxy-1-(methylamino)-D-glucitol(1∶1). 3,3′-[磺酰双(乙烯羰基亚氨基)]双[5-(N-乙基乙酰氨基)-2,4,6-三碘苯甲酸]与1-去氧-1(甲氨基)-D-山梨醇(1∶1)的化合物。 3,3′-[Sulfonylbis(ethylenecarbonylimino)]bis[5-(N-ethylacetamino)-2,4,6-triiodobenzoic acid]compound with 1-deoxy-1-(methylamino)-D-glucitol(1∶1). 诊断用药(造影药)。 碘磺拉胺葡胺。 Iosulamide Meglumine,Win 31122. INN(Iosulamide),USAN.  |