网站首页  词典首页


请输入您要查询的字词:

 

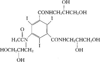
字词 碘海索
类别 中英文字词句释义及详细解析
释义 碘海索

C19H2613N3O9=821.14

CAS-66108-95-0

N,N′-双(2,3-二羟丙基)-5-[N-(2,3-二羟丙基)乙酰胺基]-2,4,6-三碘间苯二甲酰胺。

N,N′-bis(2,3-Dihydroxypropyl)-5-[N-(2,3-dihydroxypropyl)acetamido]-2,4,6-triiodoisophthalamide.

造影药。

Iohexol,Omnipaque.

INN,BAN,DCF,DCIT,USAN.

随便看

 

离鸟网收录3541549条中英文词条,其功能与新华字典、现代汉语词典、牛津高阶英汉词典等各类中英文词典类似,基本涵盖了全部常用中英文字词句的读音、释义及用法,是语言学习和写作的有利工具。

 

Copyright © 2004-2024 vtrois.com All Rights Reserved
更新时间:2026/4/18 6:22:36