网站首页  词典首页


请输入您要查询的字词:

 

字词 碘泰罗酸钠
类别 中英文字词句释义及详细解析
释义 碘泰罗酸钠

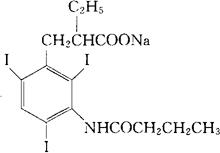
C15H17I3NNaO3=663.01

CAS-7246-21-1

3-丁酰胺基-α-乙基-2,4,6-三碘氢化肉桂酸钠。

3-Butyramido-α-ethyl-2,4,6-triiodohydrocinnamate sodium.

造影药。

酷泮酸钠。

Tyropanoate Sodium,Bilopaque,Sodium Tyropanoate,Tyropaque.

INN,BAN,DCF,JAN,NFN,USAN,USP,MI.

随便看

 

离鸟网收录3541549条中英文词条,其功能与新华字典、现代汉语词典、牛津高阶英汉词典等各类中英文词典类似,基本涵盖了全部常用中英文字词句的读音、释义及用法,是语言学习和写作的有利工具。

 

Copyright © 2004-2024 vtrois.com All Rights Reserved
更新时间:2026/4/18 8:38:08