网站首页  词典首页


请输入您要查询的字词:

 

字词 碘沙葡胺
类别 中英文字词句释义及详细解析
释义 碘沙葡胺

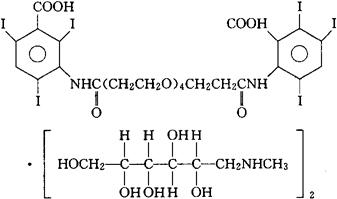
C26H26I6N2O10·2C7H17NO5=1678.36

CAS,51764-33-1

CAS-31127-82-9(iodoxamic acid)

CAS-6284-40-8(meglumine)

3,3′-[(1,16-二氧代-4,7,10,13-四噁十六烷-1,16-二基)二亚氨基]双[2,4,6-三碘苯甲酸]与1-去氧-1-(甲氨基)-D-山梨醇(1∶2)的化合物。

3,3′-[(1,16-Dioxo-4,7,10,13-tetraoxahexadecane1,16-diyl)diimino]bis[2,4,6-triiodobenzoic acid,compound with 1-deoxy-1-(methylamino)-D-glucitol(1∶2).

3,3′-[乙烯双(氧乙烯氧乙烯羰基亚氨基)]双[2,4,6-三碘苯甲酸]与1-去氧-1-(甲氨基)-D-山梨醇(1∶2)的化合物。

3,3′-[Ethylenebis(oxyethyleneoxyethylenecarbonylimino)]bis[2,4,6-triiodobenzoic acid]compound with 1-deoxy-1-(methylamino)-D-glucitol(1∶2).

诊断用药。

碘沙酸葡胺。

Iodoxamate Meglumine,Cholovue.

BAN,USAN.

随便看

 

离鸟网收录3541549条中英文词条,其功能与新华字典、现代汉语词典、牛津高阶英汉词典等各类中英文词典类似,基本涵盖了全部常用中英文字词句的读音、释义及用法,是语言学习和写作的有利工具。

 

Copyright © 2004-2024 vtrois.com All Rights Reserved
更新时间:2026/4/18 0:24:22