碘沙考
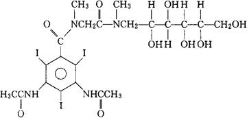
C21H29I3N4O9=862.20 CAS-97702-82-4 3,5-二乙酰胺基-2,4,6-三碘-N-甲基-N-[[甲基(D葡糖2,3,4,5,6五羟己基)氨甲酰基]甲基]苯甲酰胺。 3,5-Diacetamido-2,4,6-triiodo-N-methyl-N[[methyl(D-gluco-2,3,4,5,6-pentahydroxyhexyl)carbamoyl]methyl]benzamide. 1-[[[[3,5-双(乙酰氨基)-2,4,6-三碘苯甲酯基]甲基氨基]乙酰]甲基氨基]-1-去氧-D-山梨醇。 1-[[[[3,5-bis(Acetylamino)-2,4,6-triodobenzoyl]-methylanino]acety]methylamino]-1-deoxy-D-glucitol. 诊断用药(造影药)。 Iosarcol. INN,USAN.  |