网站首页  词典首页


请输入您要查询的字词:

 

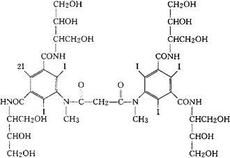
字词 碘曲仑[中]
类别 中英文字词句释义及详细解析
释义 碘曲仑[中]

C37H48I6N6O18=1626.24

CAS-79770-24-4

5,5′-丙二酰双(甲基亚氨基)双间[N,N′-双[2,3-二羟-1-(羟甲基)丙基]2,4,6-三碘间苯二甲酰胺]。

5,5′-Malonylbis(methylimino)bis[N,N′-bis-[2,3-dihydroxy-1-(hydroxymethyl)propyl]-2,4,6-triiodoisophthalamide].

造影药。

碘太醇。

Iotrol,Totrolan.

INN,BAN,USAN.

随便看

 

离鸟网收录3541549条中英文词条,其功能与新华字典、现代汉语词典、牛津高阶英汉词典等各类中英文词典类似,基本涵盖了全部常用中英文字词句的读音、释义及用法,是语言学习和写作的有利工具。

 

Copyright © 2004-2024 vtrois.com All Rights Reserved
更新时间:2026/4/18 9:24:02