网站首页  词典首页


请输入您要查询的字词:

 

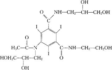
字词 碘昔兰
类别 中英文字词句释义及详细解析
释义 碘昔兰

C18H24I3N3O8=791.12

CAS-107793-72-6

5-[乙酰(2,3-二羟丙基)氨基]-N-(2,3-二羟丙基)-N′(2羟乙基)2,4,6-三碘-1,3-苯二甲酰胺。

5-[Acetyl(2,3-dihydroxypropyl)amino]-N-(2,3-dihydroxypropyl)-N′-(2-hydroxyethyl)-2,4,6-triiodo-1,3-benzenedicarboxamide.

N-(2,3-二羟丙基)-5-[N-(2,3-二羟丙基)乙酰胺基]N′-(2-羟乙基)-2,4,6-三碘间苯二甲酰胺。

N-(2,3-Dihydroxypropyl)-5-[N-(2,3-dihydroxypropyl)acetamido]-N′(2-hydroxyethyl)-2,4,6-triiodoisophthalamide.

造影药。

loxilan,Foam.

INN,USAN.

随便看

 

离鸟网收录3541549条中英文词条,其功能与新华字典、现代汉语词典、牛津高阶英汉词典等各类中英文词典类似,基本涵盖了全部常用中英文字词句的读音、释义及用法,是语言学习和写作的有利工具。

 

Copyright © 2004-2024 vtrois.com All Rights Reserved
更新时间:2026/4/18 0:57:10