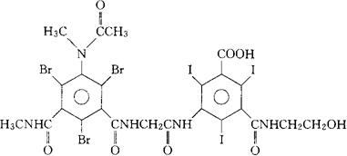
碘扎溴酸
C24H21Br3I3N5O8=1127.88 CAS-96191-65-0 N-(2-羟乙基)-2,4,6-三碘-5-[2-[2,4,6-三溴-3-(N甲基乙酰胺基)-5-(甲基氨甲酰基)苯甲酰胺基]乙酰胺基]-间苯二甲氨酸。 N-(2-Hydroxyethyl)-2,4,6-triiodo-5-[2-[2,4,6-tribromo-3-(N-methylacetamido)-5-(methylcarbamoyl)benzamido]acetamido]isophthalamic acid. 诊断用药。 Ioxabrolic.acid. INN,USAN.  |