碘帕醇
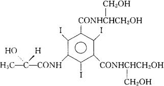
C17H22I3N3O8=777.09 CAS-60166-93-0 (S)-N,N′-双[2-羟-1-(羟甲基)乙基]-5-[(2-羟-1-氧代丙基)氨基]-2,4,6-三碘-1,3-苯二甲酰胺。 (S)-N,N′-bis[2-Hydroxy-1-(hydroxymethyl)ethyl]-5-[(2-hydroxy-1-oxopropyl)amino]-2,4,6-triiodo-1,3-benzenedicarboxamide. (S)-N,N′-双[2-羟-1-(羟甲基)乙基]-2,4,6-三碘-5-乳酰胺基间苯二甲酰胺。 (S)-N,N′-bis[2-Hydroxy-1-(hydroxymethyl)ethyl]-2,4,6-triiodo-5-lactamidoisophthalamide. 诊断用药(造影药)。 Iopamidol,SQ 13,396,Iomapidol,Iopamiro,Isovue,Niopam,Solutrast,B 15000. INN,BAN,USAN,USP.  |