网站首页  词典首页


请输入您要查询的字词:

 

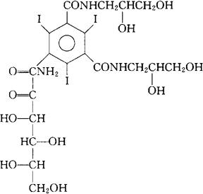
字词 碘古拉胺
类别 中英文字词句释义及详细解析
释义 碘古拉胺

C20H26I3N3O12=881.15

CAS-75751-89-2

N,N′-双(2,3-二羟丙基)-5-L-木-2-己酮糖酰胺基-2,4,6-三碘间苯二甲酰胺。

N,N′-bis(2,3-Dihydroxypropyl)-5-L-xylo-2-hexulosonamido-2,4,6-triiodoisophthalamide.

造影药。

Iogulamide.

USAN.

随便看

 

离鸟网收录3541549条中英文词条,其功能与新华字典、现代汉语词典、牛津高阶英汉词典等各类中英文词典类似,基本涵盖了全部常用中英文字词句的读音、释义及用法,是语言学习和写作的有利工具。

 

Copyright © 2004-2024 vtrois.com All Rights Reserved
更新时间:2026/4/18 19:14:44