网站首页  词典首页


请输入您要查询的字词:

 

字词 碘利扎酸
类别 中英文字词句释义及详细解析
释义 碘利扎酸

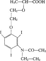
C15H18I3NO5=673.02

CAS-22730-86-5

2-[2-[3-(N-乙基乙酰氨基)-2,4,6三碘苯氧基]乙氧基]丙酸。

2-[2-[3-(N-Ethylacetamido)-2,4,6-triiodophenoxy]ethoxy]propionic acid.

诊断用药。

碘里西尼酸。

Iolixanic Acid,B-8890.

INN,USAN.

随便看

 

离鸟网收录3541549条中英文词条,其功能与新华字典、现代汉语词典、牛津高阶英汉词典等各类中英文词典类似,基本涵盖了全部常用中英文字词句的读音、释义及用法,是语言学习和写作的有利工具。

 

Copyright © 2004-2024 vtrois.com All Rights Reserved
更新时间:2026/4/18 12:41:17