网站首页  词典首页


请输入您要查询的字词:

 

字词 碘克沙葡胺
类别 中英文字词句释义及详细解析
释义 碘克沙葡胺

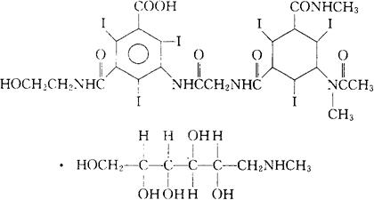
C24H21I6N5O8·C7H17NO5=1464.10

CAS-59018-13-2

3-[[[[3-(乙酰甲氨基)-2,4,6-三碘-5-[(甲氨基)羰基]苯甲酰基]氨基]乙酰]氨基]-5-[[(2-羟乙基)氨基]羰基]2,4,6-三碘苯甲酸与1-脱氧-1-(甲基氨基)-D-山梨醇(1∶1)的化合物。

3-[[[[3-(Acetylmethylamino)-2,4,6-triiodo-5-[(methylamino)carbonyl]benzoyl]amino]acetyl]amino]-5-[[(2-hydroxyethyl)amino]carbonyl]-2,4,6-triiodobenzoic acid,compound with 1-deoxy-1-(methylamino)-D-glucitol(1∶1).

N-(2-羟乙基)-2,4,6-三碘-5-[2-[2,4,6-三碘-3-(N甲基乙酰胺基)-5(甲基氨甲酰基)苯甲酰胺基]乙酰氨基]间苯二甲氨酸与1-去氧-1-(甲氨基)-D-山梨醇(1∶1)的化合物。

N-(2-Hydroxyethyl)-2,4,6-triiodo-5-[2-[2,4,6-triiodo-3-(N-methylacetamido)-5-(methylcarbamoyl)benzamido]acetamido]isophthalamic acid,compoundwith 1-deoxy-1-(methylamino)-D-glucitol(1∶1).

诊断用药(造影药)。

碘克沙酸葡甲胺。

Ioxaglate Meglumine,MP 302,Hexabrix.

BAN(Meglumine Ioxaglate),USAN.

随便看

 

离鸟网收录3541549条中英文词条,其功能与新华字典、现代汉语词典、牛津高阶英汉词典等各类中英文词典类似,基本涵盖了全部常用中英文字词句的读音、释义及用法,是语言学习和写作的有利工具。

 

Copyright © 2004-2024 vtrois.com All Rights Reserved
更新时间:2026/4/19 5:41:39