碘佛醇
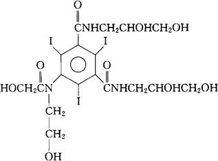
C18H24I3N3O9=807.12 CAS-87771-40-2 N,N′-双(2,3-二羟丙基)-5-[(羟乙酰)(2-羟乙基)氨基]-2,4,6-三碘-1,3-苯二甲酰胺。 N,N′-bis(2,3-Dihydroxypropyl)-5-[(hydroxyacetyl)(2-hydroxyethyl)amino]-2,4,6-triiodo-1,3-benzenedicarboxamide. N,N-双(2,3-二羟丙基)-5-[N-(2-羟乙基)羟乙酰胺基]-2,4,6-三碘间苯二甲酰胺。 N,N′-bis(2,3-Dihydroxypropyl)-5-[N-(2-hydroxyethyl)glycolamido]2,4,6-triiodoisophthalamide. 造影药。用于冠状动脉、脑血管与尿道造影。 Ioversol,MP 328. INN,BAN,USAN.  |