网站首页  词典首页


请输入您要查询的字词:

 

字词 确定型存贮模型的灵敏性分析
类别 中英文字词句释义及详细解析
释义 确定型存贮模型的灵敏性分析

存贮控制模型中的灵敏性分析,就是定性地判断和定量地分析模型中各类参数(在此以确定型模型Ⅰ为分析对象,其他模型可类推)。

这里参数是指模型中的R或N,C1,C3值的变化对经济批量Q*和最佳费用的影响。

(1)R(或N)以n倍变化,对Q*的影响:

式中,Q*′表示参数变化后,修正的经济批量。

下同。

式中,表示参数变化后,改变了的最低存贮管理费。

下同。

(2)C1以n1倍变化,对Q*的影响:

(3)C3以n3倍变化,对Q*的影响:

(4)R(或N),C1,C3同时分别以n,C1,C3倍变化,对Q*的影响:

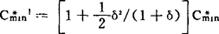
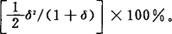
(5)最佳批量Q*变化对最佳费用的影响批量Q*增值百分比为±δ时:

即当Q*的增值百分比为±δ时,的增长百分比为

(6)最佳费用变化对最佳批量Q*的影响

费用增值百分比为r时:

特别,当r很小时:

即当的增值百分比为r时,Q*的变化百分数为×100%(当r很小时)。

〔参〕确定型存贮模型Ⅰ

随便看

 

离鸟网收录3541549条中英文词条,其功能与新华字典、现代汉语词典、牛津高阶英汉词典等各类中英文词典类似,基本涵盖了全部常用中英文字词句的读音、释义及用法,是语言学习和写作的有利工具。

 

Copyright © 2004-2024 vtrois.com All Rights Reserved
更新时间:2026/4/17 20:18:28