网站首页  词典首页


请输入您要查询的字词:

 

字词 确定型存贮模型Ⅲ
类别 中英文字词句释义及详细解析
释义 确定型存贮模型Ⅲ

瞬时进货,允许缺货的存贮模型。

(1)模型假设条件:

模型Ⅰ条件中,第1条改为允许缺货,即缺货损失为一有限数。其余条件同模型Ⅰ。

(2)库存量随时间变化的图形:

(3)费用模型

式中C2为单位物资缺货损失费,其余含义同模型Ⅰ。

(4)模型最佳量的确定:

❶ 最佳订购(或生产)批量:

❷ 最佳进货周期(或生产间隔周期):

❸ 最低费用

❹ 最佳最高库存量

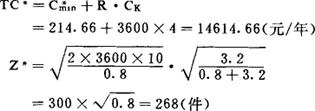
例:设某种物资按确定型模型Ⅲ周转,已知,C2=3.2元/年·件,其他数据同模型Ⅰ例。则

如果考虑购入成本,则最低总成本为:

最佳最大缺货量

Z*=Q*-Z*

=335-268=67(件)

随便看

 

离鸟网收录3541549条中英文词条,其功能与新华字典、现代汉语词典、牛津高阶英汉词典等各类中英文词典类似,基本涵盖了全部常用中英文字词句的读音、释义及用法,是语言学习和写作的有利工具。

 

Copyright © 2004-2024 vtrois.com All Rights Reserved
更新时间:2026/4/18 3:06:50