网站首页  词典首页


请输入您要查询的字词:

 

字词 确定一次函数表达式
类别 中英文字词句释义及详细解析
释义 确定一次函数表达式

一次函数y=kx+b(k≠0)含有两个基本量k,b,要确定一次函数的表达式,即确定k与b的值,需要把x与y的两组对应值相应代入,或把直线上任意两点的坐标代入,得到两个关于k,b的方程,通过解这两个方程,求出k,b,进而得到一次函数表达式.

注意 正比例函数y=kx(k≠0),只含有一个基本量k,故只需要一个条件,就可确定其表达式.

例1 一次函数y=kx+b满足x=0时,y=-1;x=1时,y=1,则一次函数的表达式为( ).

A.y=2x+1 B.y=-2x+1

C.y=2x-1 D.y=-2x-1

答 C.

[解析] 由题意可得

∴y=2x-1. 故选C.

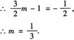
例2 已知一次函数图象过点(2,2)和(-2,-4).

❶ 求该函数的解析式;

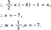
❷ 如果点(m,-1/2)(-4,n)在图象上,试求m、n的值.

解 (1)设一次函数解析式为y=kx+b(k≠0)依题意可得

∴一次函数解析式为

(2)∵点(m,-1/2)在图象上,

又∵点(-4,n)在图象上

例3 直线l与直线y=2x+1的交点的横坐标为2,与直线y=-x+2的交点的纵坐标为1,求直线l对应的函数表达式,并求此直线与坐标轴围成的三角形面积.

解 ∵直线l与直线y=2x+1的交点的横坐标为2,则纵坐标为2×2+1=5.

∴直线l与直线y=2x+1的交点坐标为(2,5),即直线l过(2,5)这个点.

同理可求直线l上的另一个点(1,1).

故可设直线l的解析式为y=kx+b(k≠0).

依题意可得

∴直线l的函数表达式y=4x-3.

直线l:y=4x-3与x轴交点坐标(3/4,0)与y轴交点坐标(0,-3).

∴此直线与坐标轴围成的三角形面积

例4 长途汽车客运公司规定旅客可随身携带一定重量的行李,如果超过规定,则需要购买行李票,行李票费用y(元)是行李重量x(kg)的一次函数,其图象如图所示,则y与x之间的函数表达式是__,自变量x的取值范围是__.

答 y=1/5x-6,x≥30.

[解析] 观察图象知其经过(60,6),(80,10)两点,可设y=kx+b(k≠0),则有60k+b=6,80k+b=10,可得k=1/5,b=-6.∴y=1/5x-6,令y=0,则x=30,根据图象知,自变量x的取值范围为x≥30.

例5 为了学生的身体健康,学校课桌、凳的高度都是按一定的关系科学设计的,小明对学校所添置的一批课桌、凳进行观察研究,发现它们可以根据人的身长调节高度,于是,他测量了一套课桌、凳上相对应的四档高度,得到如下数据:

(1)小明经过对数据探究,发现:桌高y是凳高x的一次函数,请你求出这个一次函数的关系式;(不要求写出x的取值范围)

(2)小明回家后,测量了家里的写字台和凳子,写字台的高度为77cm,凳子的高度为43.5cm,请你判断它们是否配套?说明理由.

解 (1)设一次函数为y=kx+b,将表中的数据任取两组,不妨取(37.0,70.0)和(42.0,78.0)代入,得

∴一次函数关系式为y=1.6x+10.8.

(2)当x=43.5时,y=1.6×43.5+10.8=80.4.

∵77≠80.4.∴不配套.

随便看

 

离鸟网收录3541549条中英文词条,其功能与新华字典、现代汉语词典、牛津高阶英汉词典等各类中英文词典类似,基本涵盖了全部常用中英文字词句的读音、释义及用法,是语言学习和写作的有利工具。

 

Copyright © 2004-2024 vtrois.com All Rights Reserved
更新时间:2026/4/19 7:16:47