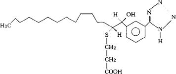
硫鲁司特
C25H36N4O3S=472.65 CAS-98116-53-1 [R-[R*,S*-(E,Z)]]-33-[[1-[羟基[3-(1H-四唑-5-基)苯基-]甲基]2,4-十四碳二烯基]硫代]丙酸。 [R-[R*,S*-(E,Z)]]-3-[[1-[Hydroxy[3-(1H-tetrazol-5-yl)phenyl]methyl]2,4-tetradecadienyl]thio]propanoic acid. 3-[[(1R,2E,4Z)-1-[(αS)-α-羟基-间-1H-四唑-5-基苄基]-2,4-十四碳二烯基]硫代]丙酸。 3-[[(1R,2E,4Z)-1-[(αS)-α-Hydroxy-m-1H-tetrazol-5-ylbenzyl]-2,4-tetradecadienyl]thio]propionic acid. 抗过敏药。 Sulukast,LY170680. INN,USAN. 
|