网站首页  词典首页


请输入您要查询的字词:

 

字词 硫酸阿斯托霉素
类别 中英文字词句释义及详细解析
释义 硫酸阿斯托霉素

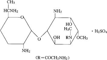
C17H35N5O6·2H2SO4=601.64

CAS-72275-67-3

4-氨基-1-(2-氨基-N-甲基乙酰胺基)-1,4-二脱氧-3-O-(2,6-二氨基-2,3,4,6,7-五脱氧-β-L-来苏-庚吡喃糖基)-6-O-甲基-L-手性-肌醇硫酸盐(1∶2)。

4-Amino-1-(2-amino-N-methylacetamido)-1,4-dideoxy-3-0(2,6-diamino-2,3,4,6,7-pentadeoxy-β-L-lyxo-heptopyranosyl)-6-O-methyl-L-chiro-inositol sulfate(1∶2).

抗菌药。

硫酸阿司米星。

Astromicin Sulfate,Abbott-44747.

USAN.

随便看

 

离鸟网收录3541549条中英文词条,其功能与新华字典、现代汉语词典、牛津高阶英汉词典等各类中英文词典类似,基本涵盖了全部常用中英文字词句的读音、释义及用法,是语言学习和写作的有利工具。

 

Copyright © 2004-2024 vtrois.com All Rights Reserved
更新时间:2026/4/18 13:16:17