网站首页  词典首页


请输入您要查询的字词:

 

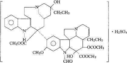
字词 硫酸长春新碱
类别 中英文字词句释义及详细解析
释义 硫酸长春新碱

C46H56N4O10·H2SO4=923.04

CAS-2068-78-2

CAS-57-22-7(vincrisfine)

22-氧代长春碱硫酸盐(1∶1)。

Vincaleukoblastine,22-oxo-,sulfate(1∶1)(salt).

长春新碱硫酸盐(1∶1)。

Leurocristine sulfate(1∶1)(salt).

抗肿瘤药。用于急性白血病、恶性淋巴瘤、绒毛腺上皮癌、乳腺癌、肺癌及消化道肿瘤等。

硫酸醛基长春碱。

Vincristine Sulfate,Oncovin,Leurocristine,Vincasar,Vincrex,37231,NSC-67574.

注射用硫酸长春新碱(注射用硫酸醛基长春碱)。

INN,BAN,BP,USAN,USP,MI.

随便看

 

离鸟网收录3541549条中英文词条,其功能与新华字典、现代汉语词典、牛津高阶英汉词典等各类中英文词典类似,基本涵盖了全部常用中英文字词句的读音、释义及用法,是语言学习和写作的有利工具。

 

Copyright © 2004-2024 vtrois.com All Rights Reserved
更新时间:2026/4/18 21:17:38