网站首页  词典首页


请输入您要查询的字词:

 

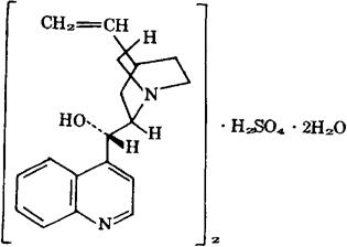
字词 硫酸辛可宁
类别 中英文字词句释义及详细解析
释义 硫酸辛可宁

(C19H22N2O)2·H2SO4·2H2O=722.94

CAS-5949-16-6

CAS-118-10-5(cinchonine)

(9S)-脱氧辛可宁-9-醇硫酸盐(2∶1)。

(9S)-Cinchonan-9-O1 sulfate(2∶1).

抗疟药。

硫酸金鸡宁。

Cinchonine.

NF,USAN,MI.

随便看

 

离鸟网收录3541549条中英文词条,其功能与新华字典、现代汉语词典、牛津高阶英汉词典等各类中英文词典类似,基本涵盖了全部常用中英文字词句的读音、释义及用法,是语言学习和写作的有利工具。

 

Copyright © 2004-2024 vtrois.com All Rights Reserved
更新时间:2026/4/20 5:04:08