网站首页  词典首页


请输入您要查询的字词:

 

字词 硫酸泛丝菌素[台]
类别 中英文字词句释义及详细解析
释义 硫酸泛丝菌素[台]

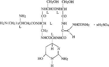
C25H43N13O10·xH2SO4

CAS-37883-00-4

为泛丝菌素的硫酸盐Viomycin sulfate泛丝菌素可由链丝菌种一种丝菌Steptomyces griseus var purpureus的培养液中提取而制得。

抗结核病药。

硫酸紫霉素。

Viomycin Sulfate,Viocin Sulfate.

注射用泛丝菌素(注射用硫酸泛丝菌素)。

INN,BAN,BP,DCF,DCIT,JP,NFN,USAN,USP,MI.

随便看

 

离鸟网收录3541549条中英文词条,其功能与新华字典、现代汉语词典、牛津高阶英汉词典等各类中英文词典类似,基本涵盖了全部常用中英文字词句的读音、释义及用法,是语言学习和写作的有利工具。

 

Copyright © 2004-2024 vtrois.com All Rights Reserved
更新时间:2026/4/17 23:08:04