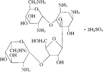
硫酸新霉素B
C23H46N6O13·3H2SO4=908.9 CAS-4146-30-9 CAS-119-04-0(framycetin) 2-脱氧-4-O-(2,6-二氨基-2,6-二脱氧-α-D-吡喃葡糖基)-5-O-[3-O-(2,6-二氨基-2,6-二脱氧-β-L-艾杜吡喃糖基)-β-D-呋喃核糖基]链霉胺硫酸盐(1∶3)。 2-Deoxy-4-O-(2,6-diamino-2,6-dideoxy-α-D-glucopyranosyl)-5-O-[3-O-(2,6-diamino-2,6-dideoxyβ-L-idopyranosyl)-β-D-ribofuranosyl]streptamine sulfate(1∶3). 抗生素类药。用于葡萄球菌、痢菌杆菌、大肠杆菌、变形杆菌等感染。 Neomycin B Sulfate,Framycetin Sulfate,Neomycin B Sulphate,Bykomycin,Fraguinol,Neomix,Neobrettin,Tuttomycin. BP,MI.  |