网站首页  词典首页


请输入您要查询的字词:

 

字词 硫酸庆大霉素[典]
类别 中英文字词句释义及详细解析
释义 硫酸庆大霉素[典]

CAS-1405-41-0

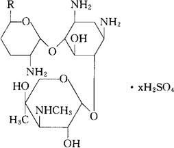
O-3-去氧-4-甲基-3-甲氨基-β-L阿拉伯吡喃糖基-(1→6)-O-[2,6-二氨基-2,3,4,6四去氧-α-D-赤吡喃己糖基-(1→4)]-2-去氧-D-链霉胺的硫酸盐。

O-3-Deoxy-4-methyl-3-methylamino-β-L-arabinopyranosyl-(1→6)-O-[2,6-diamino-2,3,4,6-tetradeoxyα-D-erythro-hexopyranosyl-(1→4)]2-deoxy-Dstreptamine sulfate.

抗生素类药。为氨基糖甙类广谱抗生素,主要用于葡萄球菌、绿脓杆菌、大肠杆菌、痢疾杆菌、克雷白肺炎杆菌、变形杆菌等感染。

硫酸正泰霉素,硫酸紫菌素(台)。

Gentamycin Sulfate,Gentamicin Sulfate,Bristagen,Garamycin.

硫酸庆大霉素片,硫酸庆大霉素软膏,硫酸庆大霉注射液。

BP,USAN,USP,MI.

随便看

 

离鸟网收录3541549条中英文词条,其功能与新华字典、现代汉语词典、牛津高阶英汉词典等各类中英文词典类似,基本涵盖了全部常用中英文字词句的读音、释义及用法,是语言学习和写作的有利工具。

 

Copyright © 2004-2024 vtrois.com All Rights Reserved
更新时间:2026/4/18 8:05:21