网站首页  词典首页


请输入您要查询的字词:

 

字词 硫酸布替罗星
类别 中英文字词句释义及详细解析
释义 硫酸布替罗星

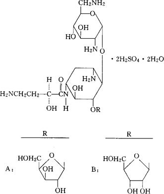
C21H41N5O12·2H2SO4·2H2O=787.76

CAS-51022-98-1

CAS-57549-48-1(anhydrous)

CAS-12772-35-9(butirosin)

硫酸布替罗星。

Butirosin sulfate.

O-2,6-二氨基-2,6-二脱氧-α-D-吡喃葡糖基-(1→4)-O-[β-D-呋喃木糖基-(1→5)]-N1-(4-氨基-L-2-羟丁酰)-2-脱氧-D-链霉胺硫酸盐(1∶2)二水合物与O2,6-二氨基-2,6-二脱氧-α-D-吡喃葡糖基(1→4)-O[β-D-呋喃核糖基-(1→5)]-N1-(4-氨基-L-2-羟丁酰)-2-脱氧-D-链霉胺硫酸盐(1∶2)二水合物的混合物。

O-2,6-Diamino-2,6-dideoxy-α-D-glucopyranosyl-(1→4)-O-[β-D-xylofuranosyl-(1→5)]-N1-(4-aminoL-2-hydroxybutyryl)-2-deoxy-D-streptamine sulfate(1∶2)(salt)dihydrate mixture with O-2,6-diamino-2,6-dideoxy-α-D-glucopyranosyl-(1→4)-O[β-D-ribofuranosyl-(1→5)]-N1-(4-amino-L-2-hydroxybutyryl)-2-deoxy-D-streptamine sulfate(1∶2)(salt)dihydrate.

抗菌药。抗菌谱与庆大霉素、雷布菌素等相似。

盐酸丁胺菌素。

Butirosin Sulfate,CI-642.

INN(Butirosin),BAN(Butirosin Sulphate),USAN.

注∶硫酸布替罗星(硫酸石胺苗素)是A和B的混合物。

随便看

 

离鸟网收录3541549条中英文词条,其功能与新华字典、现代汉语词典、牛津高阶英汉词典等各类中英文词典类似,基本涵盖了全部常用中英文字词句的读音、释义及用法,是语言学习和写作的有利工具。

 

Copyright © 2004-2024 vtrois.com All Rights Reserved
更新时间:2026/4/17 23:09:44