网站首页  词典首页


请输入您要查询的字词:

 

字词 硫酸妥布霉素
类别 中英文字词句释义及详细解析
释义 硫酸妥布霉素

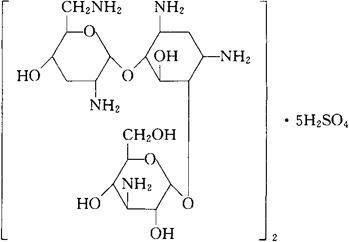
(C18H37N5O9)2·5H2SO4=1425.39

CAS-79645-27-5

O-3-氨基-3去氧-α-D-吡喃葡萄糖基(1→6)-O-[2,6-二氨基-2,3,6-三去氧-α-D-核-吡喃己糖基-(1→4)]-2-去氧-D-链霉胺硫酸盐(2∶5)。

DStreptamine,O-3-amino-3-deoxy-α-D-glucopyranosyl(1→6)-O-[2,6-diamino-2,3,6-trideoxy-α-Dribo-hexopyranosyl-(1→4)]-2-deoxy-sulfate(2∶5)(salt).

()-3-氨基-3-去氧-α-D-吡喃葡萄糖基-(1→4)-O-[2,6-二氨基-2,3,6-三去氧αD-核-吡喃己糖基-(1→6)]-2-去氧-L-链霉胺,硫酸盐(2∶5)。

O-3-Amino-3-deoxy-α-D-glucopyranosyl-(1→4)O[2,6-diamino-2,3,6-trideoxy α-D-ribo-hexopyranosyl-(1→6)]-2-deoxy-L-streptamine,sulfate(2∶5)(salt).

妥布霉素硫酸盐(2∶5)。

Tobamycin Sulfate(2∶5)(salt).

抗生素类药。

Tobramycin Sulfate Sterile,Nebcin.

INN(Tobramycin),USAN,USP.

随便看

 

离鸟网收录3541549条中英文词条,其功能与新华字典、现代汉语词典、牛津高阶英汉词典等各类中英文词典类似,基本涵盖了全部常用中英文字词句的读音、释义及用法,是语言学习和写作的有利工具。

 

Copyright © 2004-2024 vtrois.com All Rights Reserved
更新时间:2026/4/20 3:37:31