网站首页  词典首页


请输入您要查询的字词:

 

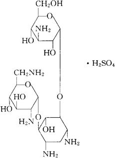
字词 硫酸卡那霉素B[中]
类别 中英文字词句释义及详细解析
释义 硫酸卡那霉素B[中]

C18H37N5O10·H2SO4=581.59

CAS-8063-07-8(kanamycin)

2′氨基-2′-脱氧卡那霉素硫酸盐(1∶1)。

2′-Amino-2′-deoxy-kanamycin sulfate(1∶1)(salt).

抗生素类药。对金黄色葡萄球菌、肺炎球菌、痢疾杆菌、大肠杆菌、绿脓杆菌等的感染均有效。

Kanamycin B Sulfate,Coltericin,Kanendomycin.Bekanamycin Sulfate.

注射用硫酸卡那霉素B。

MI.

随便看

 

离鸟网收录3541549条中英文词条,其功能与新华字典、现代汉语词典、牛津高阶英汉词典等各类中英文词典类似,基本涵盖了全部常用中英文字词句的读音、释义及用法,是语言学习和写作的有利工具。

 

Copyright © 2004-2024 vtrois.com All Rights Reserved
更新时间:2026/4/19 8:05:05