网站首页  词典首页


请输入您要查询的字词:

 

字词 硫酸博来霉素
类别 中英文字词句释义及详细解析
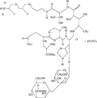
释义 硫酸博来霉素

CAS-9041-93-4

CAS-11056-06-7(bleomycin)

是从Streptomyces verticillus菌株分离而得的糖肽类抗生素的混合物,转化成硫酸盐。

A mixture of glycopeptide antibiotics isolated from a strain of Streptomyces verticillus and converted into sulfates.

博来霉素硫酸盐。

Bleomycin sufate(salt).

抗生素类药,抗癌药。

Bleomycin Sulfate,Blenoxane.

INN &BAN(Bleomycin),USAN,USP.

(Main componcntBleomycin A2,in which Ris(CH3)2S+CH2CH2CH2-)

随便看

 

离鸟网收录3541549条中英文词条,其功能与新华字典、现代汉语词典、牛津高阶英汉词典等各类中英文词典类似,基本涵盖了全部常用中英文字词句的读音、释义及用法,是语言学习和写作的有利工具。

 

Copyright © 2004-2024 vtrois.com All Rights Reserved
更新时间:2026/4/20 19:21:40