网站首页  词典首页


请输入您要查询的字词:

 

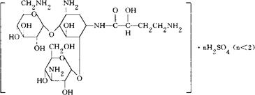
字词 硫酸丁胺卡那霉素[典]
类别 中英文字词句释义及详细解析
释义 硫酸丁胺卡那霉素[典]

C22H43N5O13·2H2SO4=781.75

CAS-39831-55-5

1-N-[L(-)-γ-氨基-α-羟基丁酰基]卡那霉素A的硫酸盐。

l-N-[L-(-)-γ-Amino-α-hydroxybutyryl]kanamycin A sulfate.

抗生素类药。为氨基糖苷类广谱抗生素。用于葡萄球菌、肺炎球菌、变形杆菌、绿脓杆菌及大肠杆菌等的感染,亦可用于对卡那霉素和庆大霉素耐药的革兰氏阴性菌的感染。

硫酸阿米卡星。

Amihacin Sulfate, Amilin,BB-K8.

注射用硫酸丁胺卡那霉素(注射用硫酸阿米卡星)。

USAN,SUP,MI.

随便看

 

离鸟网收录3541549条中英文词条,其功能与新华字典、现代汉语词典、牛津高阶英汉词典等各类中英文词典类似,基本涵盖了全部常用中英文字词句的读音、释义及用法,是语言学习和写作的有利工具。

 

Copyright © 2004-2024 vtrois.com All Rights Reserved
更新时间:2026/4/19 23:11:02