网站首页  词典首页


请输入您要查询的字词:

 

字词 硫化氢的性质和实验室制法
类别 中英文字词句释义及详细解析
释义 硫化氢的性质和实验室制法

1.硫化氢的物理性质.

无色有臭鸡蛋气味的气体,在水中的溶解度为1∶2.6,较低熔沸点,比空气稍重,分子晶体,有剧毒.

2.硫化氢的化学性质.

(1)不稳定性:,比水的稳定性差.

(2)可燃性:2H2S+O2(不足)2H2O+2S2H2S+3O2(充足)2H2O+2SO2

(3)强还原性:H2S和SO2、H2SO3、FeCl3、KMnO4、浓H2SO4、HNO3、X2、H2O2都能发生氧化还原反应.

(4)硫化氢的水溶液叫氢硫酸,为二元挥发性弱酸,具有强还原性和酸的通性.能被卤素单质、HNO3、浓H2SO4、O2、Fe3+、酸性KMnO4溶液、SO2等氧化.2H2S+O2=2H2O+2S氢硫酸放置一段时间变浑浊,所以须现用现制.

3.实验室制法:

原理:FeS与稀盐酸或稀硫酸反应制H↓(2S.

FeS+2HCl=FeCl2+H2S/p>

FeS+H↓(2SO4=FeSO4+H2S/p>

发生装置:固+液→气,所以可用启普发生器.

例1 (1998·上海·5)0.05mol某单质与0.8g硫在一定条件下完全反应,该单质可能是( ).

A H↓(2 B.O2

C.K D.Zn

解析 0.8g硫即为0.025mol,与0.05mol某单质在一定条件下完全反应,说明该单质与硫反应按计量数2∶1进行,对照选项,只有C项中K满足题意.2K+S=K2S

答 C.

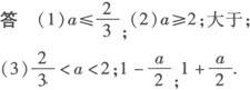
例2将a mol H2S和1mol O2置于一个容积可变的容器内进行反应.维持容器内气体的压强不变(101kPa),在120℃下测得反应前后容器内气体的密度分别为d1和d2.若a的取值不同,则H2S的氧化产物可能有如下三种情况:

(1)全部是SO2,此时a的取值范围是__.

(2)全部是S,此时a的取值范围是__,并且d1__ d2(填“小于”“大于”或“等于”)

(3)部分是SO2,部分是S,此时a的取值范围是__.反应所生成的SO2的物质的量为__mol,容器内气体的物质的量之和为__mol(以含a的代数式表示).

解析 (1)此时反应为:

2H2S+3O2=2H2O+2SO2

(2)此时反应为:

2H2S+O2=2H2O+2S;

(3)在此范围内,amolH2S和1molO2起反应生成了SO2,(a—b)molS和amolH2O.生成bmolSO2需3/2bmolO2,生成(a—b)molS需1/2(a—b)molO2,所以3/2b+1/2(a—b)=1,b=1—.反应后气体混合物中含bmolSO2和amolH2O,即气体物质的量之和为:a+b=1+

随便看

 

离鸟网收录3541549条中英文词条,其功能与新华字典、现代汉语词典、牛津高阶英汉词典等各类中英文词典类似,基本涵盖了全部常用中英文字词句的读音、释义及用法,是语言学习和写作的有利工具。

 

Copyright © 2004-2024 vtrois.com All Rights Reserved
更新时间:2026/4/18 2:31:06