硝酸布康唑
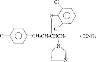
C19H17Cl3N2S·HNO3=474.79 CAS-64872-77-1 CAS-64872-76-0(butoconazole) (±)-1-[4-(对-氯苯基)-2-[(2,6-二氯苯基)硫]丁基]-咪唑单硝酸盐。 (±)-1-[4-(p-Chlorophenyl)-2-[(2,6-dichlorophenyl)thio]butyl]-imidazole mononitrate. 抗真菌药。 硝酸氯苯硫丁唑。 Butoconazole Nitrate,RS-35887,RS-35887-00-10-3 Femstat. 乳膏剂。 INN(Butoconazole),USAN.  |