网站首页  词典首页


请输入您要查询的字词:

 

字词 硝酸奥昔康唑
类别 中英文字词句释义及详细解析
释义 硝酸奥昔康唑

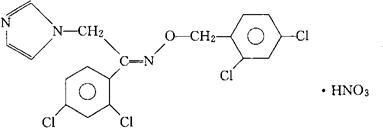
C18H13Cl4N3O·HNO3=492.15

CAS-64211-46-7

CAS-64211-45-6(oxicoazole)

(Z)-1-(2,4-二氯苯基)-2-(1H-咪唑-1-基)乙基酮,O-[(2,4-二氯苯基)甲基]肟单硝酸盐。

(Z)-1-(2,4-Dichlorophenyl)-2-(1H-imidazol-l-yl)-ethanone,O-[(2,4-dichlorophenyl)methyl]oxime,mononitrate.

2′,4′-二氯-2-咪唑-1-基苯乙酮-(Z)-[O-(2,4-二氯苄基)肟]单硝酸盐。

2′,4′-Dichloro-2-imidazol-1-ylacetophenone(Z)-[O(2,4-dichlorobenzyl)oxime],mononitrate.

抗真菌药。

Oxiconazole Nitrate,SGD 301-76,RO 13-8996,ST-813,Oceral,Derimine,Myfungar,Okinazole.

INN & BAN(Oxieonazole),USAN.

随便看

 

离鸟网收录3541549条中英文词条,其功能与新华字典、现代汉语词典、牛津高阶英汉词典等各类中英文词典类似,基本涵盖了全部常用中英文字词句的读音、释义及用法,是语言学习和写作的有利工具。

 

Copyright © 2004-2024 vtrois.com All Rights Reserved
更新时间:2026/4/20 4:36:48