硝酸奥康唑
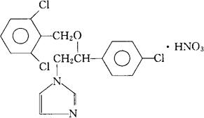
C18H15Cl3N2O·HNO3=444.70 CAS-66778-38-9 CAS-66778-37-8(orconazole) (±)-1-[2-(4-氯苯基)-2-[(2,6-二氯苯基)甲氧]-乙基]-1H-咪唑单硝酸盐。 (±)-l-[2-(4-Chlorophenyl)-2-[(2,6-dichlorophenyl)methoxy]-ethyl]-lH-imidazole,mononitrate. (±)-1-[对-氯-β-[(2,6-二氯苄基)氧]苯乙基]咪唑单硝酸盐。 (±)-l-[p-Chloro-β-[(2,6-dichlorobenzyl)oxy]phenethyl]imidazole mononitrate. 抗真菌药。 Orconazole Nitrate,R 15,556. INN(Orconazole),USAN.  |