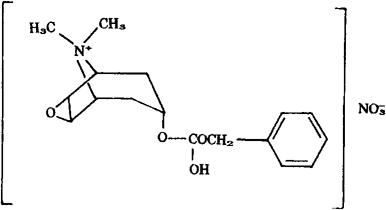
硝甲东莨菪碱
C18H24N2O7=380.40 CAS-6106-46-3 (-)(1S,3S,5R,6R,7S)-6,7-环氧-8-甲基-3-[(S)-托品酰氧]托品烷硝酸盐。 (-)(1S,3S,5R,6R,7S)-6,7-Epoxy-8-methyl-3-[(S)-tropoyloxy]tropanium nitrate. 抗胆碱药。用于治疗胃及十二指肠溃疡,缓解内脏痉挛。 Hyosine Methylnitrate,Scopolamine Methylnitrate,Methscopolamine Nitrate,Skopal,Skopyl. DCIT,NFN.  |